By Brandon Hall
(Email him at WestMiPolitics@Gmail.com)
Rep. Bill Huizenga, who has been the subject of controversy this week after West Michigan Politics revealed his Disney vacation with interests he regulates and other issues surrounding his office, still has campaign finance reports that are 10 years late. They are from his time in the Michigan State House.
Documents obtained by West Michigan Politics raise immensely substantial questions that deserve attention.
Huizenga is the treasurer and beneficiary of the "Huizenga House Fund," his leadership Political Action Committee from his time as a State Rep.
According to the Michigan Secretary of State's office, Huizenga has over a dozen reports that have not been filed. They list 14 outstanding reports from 2004-2009. Because Huizenga has failed to comply, they denied his request to dissolve the committee in 2013. It appears that, amazingly, Huizenga has just been able to avoid repeated requests by two different Michigan Secretaries of State by simply ignoring them.
He has also had to pay multiple fines for his violation of Michigan Campaign Finance Law.
In 2004, Huizenga begins a trail of shady campaign finance reports. After issues with his April report, he simply ignores the SOS request for more information, and is fined $125.
He then takes multiple attempts to correctly file his July 2004 paperwork.
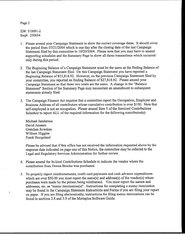
In October 2004, it's back to more problems-still unanswered 10 years later. In that report, the discrepancy between his beginning and ending balance is around $6,000. That's a pretty big gap.
In April of 2005, he received his second fine, this one for $25.He is also threatened with an Attorney General investigation if he does not comply because of issues with his January 2005 report.
After multiple notices, the matter finally went before a hearing in August 2005. At that point, Secretary of State Land's office had reached a breaking point. The letter to Huizenga said that he was clearly violating the law, and he was even threatened with having wages sent to collection.
Huizenga paid the fine a month later, but his report still lacked proper information.
In October 2005, The Secretary of State's office wanted Huizenga to justify a $300 payment to himself. He still has not done so 10 years later.
Later in October of '05, the SOS inquired about a $216.92 payment Huizenga made to himself.
Huizenga paid himself over $1200 in September of 2005, and the SOS asked why in a 2006 letter. Huzienga has still not responded.
$200 was paid to Huizenga in his April 2006 report, and Huizenga has yet to explain that to the SOS.
In January of 2007, Land's office sent a letter because Huizenga didn't properly amend his committee paperwork to reflect a new record keeper.
His new record keeper must not have known what the hell to do with the mess he inherited, because Huizenga didn't even file a January 2007 finance report.
He was fined $175 because of that issue.
After a string of multiple other issues, Huizenga, after a string of other error notices, received this in January of 2008. The SOS wanted Huizenga to account for nearly $1,00 in reimbursement sto himself. He still has not done so.
In September 2008, the SOS took Huizenga to task for not properly disclosing loan payments, and for again having an incorrect start/end balance in his July 2008 report.
In November 2008, the SOS asked Huizenga to clarify who the PAC who had given him $8,000 was. He has STILL NOT DISCLOSED THAT DONOR.
In May of 2012, Huizenga was fined $375 for again failing to file a report on time.
He was fined another $375 later in 2012 for the same issue.
You know things are bad when Ruth Johnson has to remind you that you are the treasurer of your own PAC:
Huizenga tried to dissolve the PAC in 2013, but was rejected because he has multiple issues outstanding with the Secretary of State's office.
After being denied a dissolution, Huizenga applied for and was granted a waiver to avoid future reports.
WMP will update you as things develop...
_________________________________________________________________________
Brandon Hall is a lifelong political nerd from Grand Haven, and is the Managing Editor of West Michigan Politics.
Email him at WestMiPolitics@Gmail.com
:)
|  | 
| Photo By Darlene Dowling Thompson | 
 

















 
 
This is such a non-issue. He has a waiver, he's paid his fines. If he has a waiver, no reports are due. What is the problem?
ReplyDeleteNot true. The waiver is recent. He has 14 reports due. It's all very thoroughly detailed in the article.
ReplyDeleteActually, very true. He gets the waiver the SAME MONTH (7/22/13 waiver, 7/30/13 letter) the letter detailing those missing reports. Nothing is compelling him to file these reports. The committee is mothballed. So what, he cannot dissolve the committee. In its current status, it is all but dissolved except by name. Did you even call the Bureau to verify?
ReplyDeleteNope, just talked to MISOS. "Isn't normal" was the exact quote, investiagtion coming soon...stay tuned
ReplyDelete